magicalceylontours.com
HOME
About
Contact
Disclaimer
Privacy
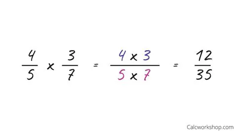
Use the formula for multiplying fractions
Oct 13, 2025
by magicalceylontours.com
86
views