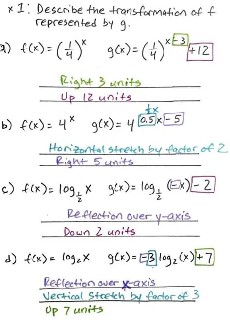
Understanding the Transformation of f Represented by g Oct 13, 2025 by magicalceylontours.com 54 views