magicalceylontours.com
HOME
About
Contact
Disclaimer
Privacy
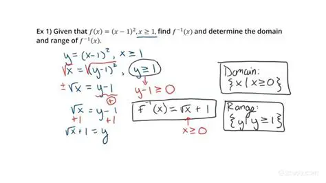
Understanding the Domain and Range Exclusions
Oct 13, 2025
by magicalceylontours.com
113
views