magicalceylontours.com
HOME
About
Contact
Disclaimer
Privacy
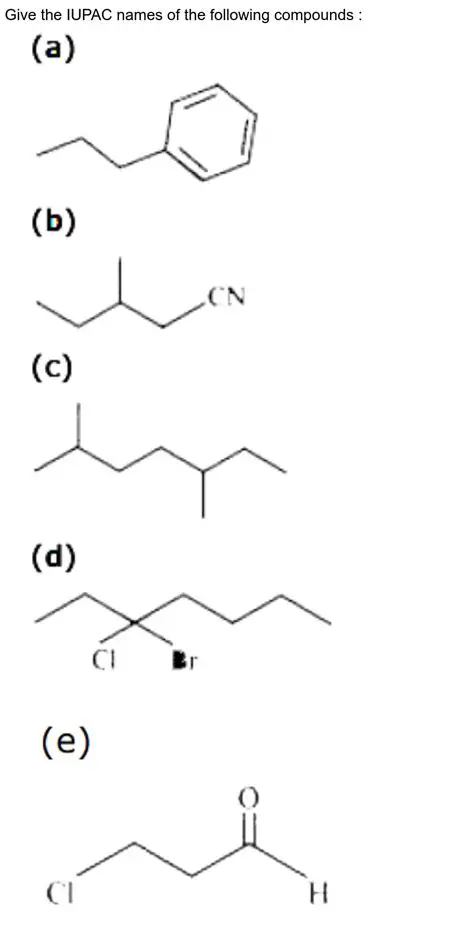
The IUPAC Name of the Compound
Oct 13, 2025
by magicalceylontours.com
149
views