magicalceylontours.com
HOME
About
Contact
Disclaimer
Privacy
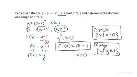
The Given Function and Its Inverse
Oct 13, 2025
by magicalceylontours.com
12
views