magicalceylontours.com
HOME
About
Contact
Disclaimer
Privacy
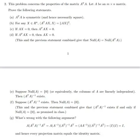
Properties of the Matrix A
Oct 13, 2025
by magicalceylontours.com
142
views