magicalceylontours.com
HOME
About
Contact
Disclaimer
Privacy
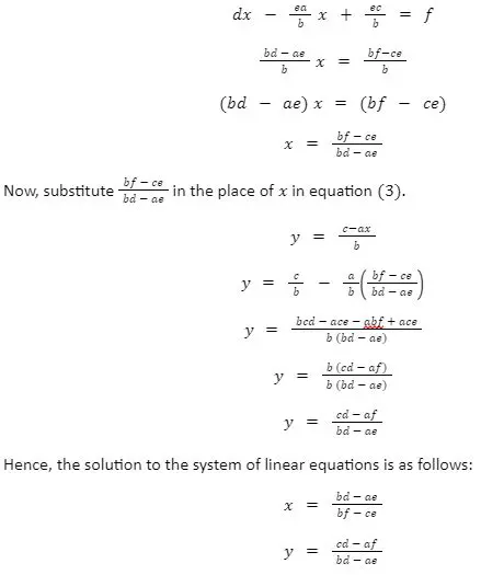
Proof of System of Equations B
Oct 13, 2025
by magicalceylontours.com
54
views