magicalceylontours.com
HOME
About
Contact
Disclaimer
Privacy
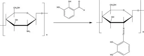
Preparation of Chitosan Glutaraldehyde Adsorbent
Oct 13, 2025
by magicalceylontours.com
38
views