magicalceylontours.com
HOME
About
Contact
Disclaimer
Privacy
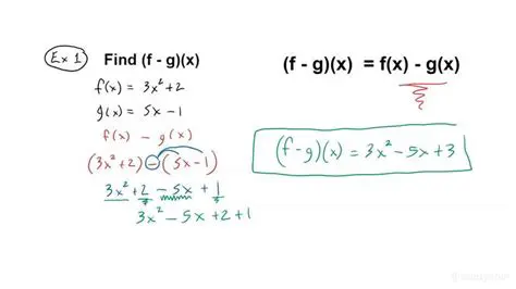
Finding the Difference of Functions
Oct 13, 2025
by magicalceylontours.com
89
views