magicalceylontours.com
HOME
About
Contact
Disclaimer
Privacy
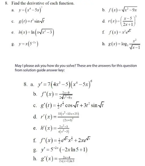
Find the derivative of the given equation
Oct 13, 2025
by magicalceylontours.com
38
views