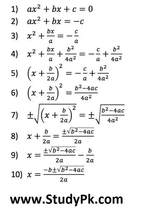
Deriving the Quadratic Formula by Completing the Square Oct 13, 2025 by magicalceylontours.com 10 views