magicalceylontours.com
HOME
About
Contact
Disclaimer
Privacy
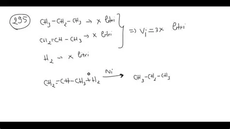
Calculul Randamentului de Hidrogenare
Oct 13, 2025
by magicalceylontours.com
70
views