magicalceylontours.com
HOME
About
Contact
Disclaimer
Privacy
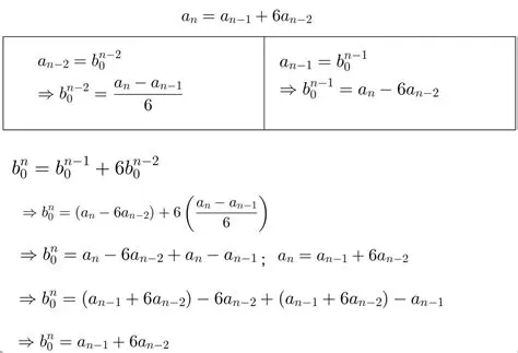
Calculating the Number of Ways to Roll a Full House
Oct 13, 2025
by magicalceylontours.com
2
views