magicalceylontours.com
HOME
About
Contact
Disclaimer
Privacy
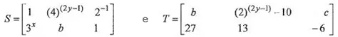
A Soma dos Quadrados das Constantes
Oct 13, 2025
by magicalceylontours.com
126
views